人教版 高中《數學2》第四章
4.3.2《空間兩點間的距離公式》
【教學目標】
1、 掌握空間中兩點間距離的計算公式
2、 學習如何計算空間點到原點的距離
【教學重點與難點】
重點:空間中兩點間距離的計算公式
難點:空間中兩點間距離的計算公式的推導
【教學過程】
1. 復習引入(10分鐘)
(1) 【老師】復習勾股定理公式:設直角三角形兩直角邊為a和b,斜邊為c
【學生】 a2+b2=c2
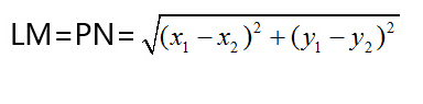
(2) 【老師】復習在平面上任意兩點A (x1,y1),B (x2,y2)之間的距離的公式
【學生】
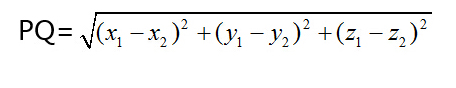
(3) 【老師】提問:那么對于空間中任意兩點A (x1,y1,z1),B (x2,y2,z2)之間的距離的公式會是怎樣呢?現實生活中什么情況下需要計算空間中任意兩點間的距離呢?只需引導學生大膽猜測,是否正確無關緊要。
【學生】踴躍回答
2. 新課教學(25分鐘)
(1)演示環節:推導空間兩點間距離公式
觀看VR/3D教學視頻,學生可從演示視頻中了解以下信息
A.本節課的學習目標
B.現實生活中空間兩點距離計算的應用
C.演示空間兩點距離公式的推導過程(教師可以配合視頻講解公式推導過程)
a.確定空間任意兩點P(x1,y1,z1), Q(x2,y2,z2)

b.直線PL與直線QM垂直于平面XOY,

c.QN=QM-QN=QM-PL=z2-z1

d.根據勾股定理, PQ2=PN2+QN2=LM2+QN2
e.


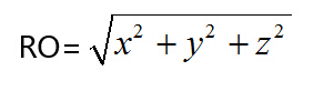
f. 根據公式,推出任意一點(x,y,z)與原點(0,0,0)的距離公式為

(2)互動環節:教師打開3D教學互動模塊,與學生一起分步驟推導空間兩點間距離公式,調動課堂氣氛,引導學生思考,加深學生對公式推導過程的理解。

(3)練習環節:教師用鼠標任意拖動PQ兩點在任意位置上,要求學生利用公式計
算PQ兩點間的距離。可以用個別提問方式,或小組比賽方式進行。
3. 書本練習(10分鐘)
詳見138頁練習第4題:如圖,正方體棱長為a,AN=2CN,BM=2MC’,求MN長。
